Bifar
29
y citoplasmáticas. En estas inclusiones se
acumula una proteína,
huntingtina
, así co-
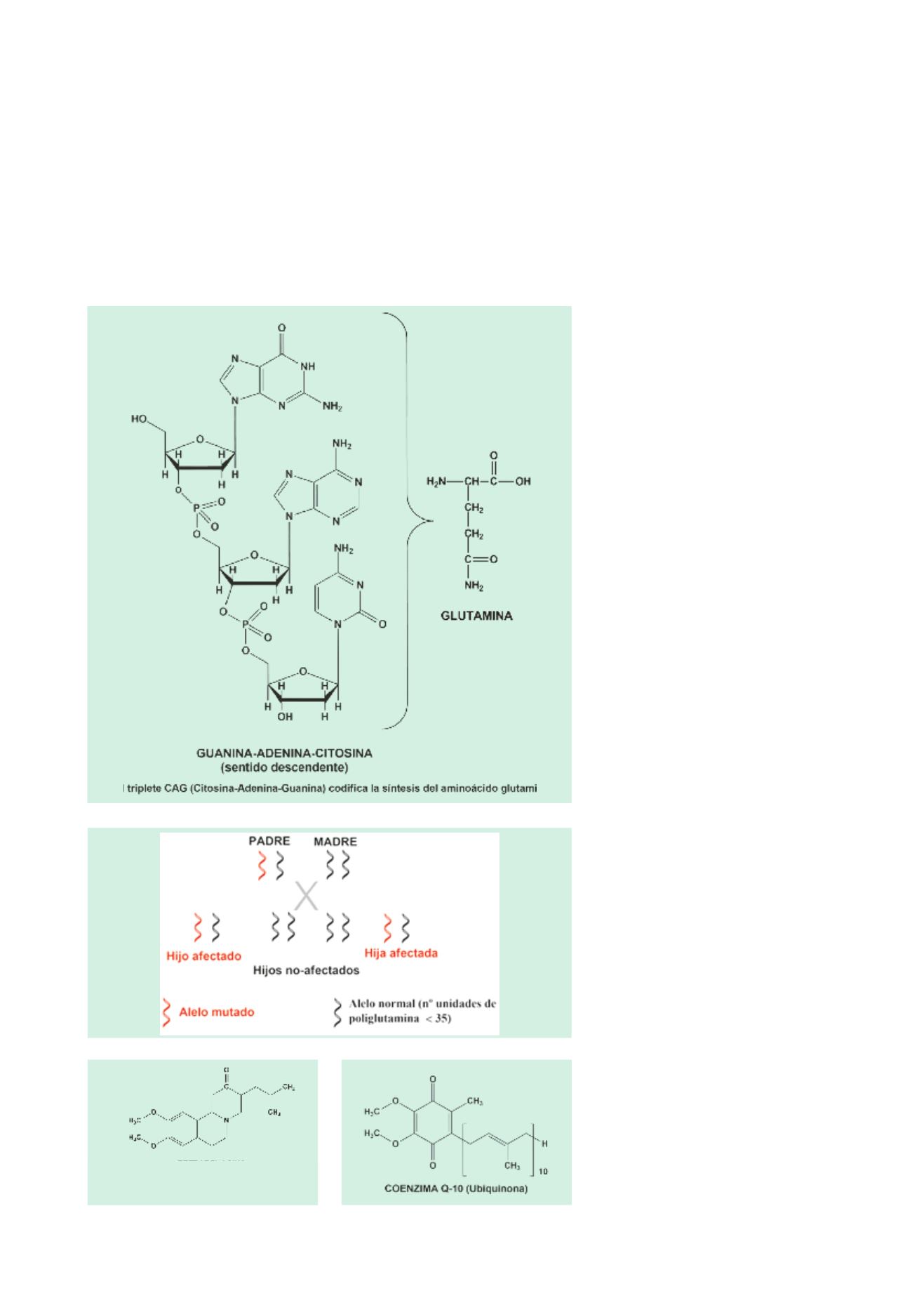
mo la
poli-glutamina
resultante de la trans-
cripción y traducción de las cadenas repe-
titivas del triplete CAG. Se ha propuesto la
formación de agregados de
poli-glutamina
como factor intermediario en la aparición de
la clínica de la enfermedad de Huntington.
La proteína
huntingtina
se expresa en todas
las células humanas y de otrosmamíferos. Las
concentraciones más elevadas se observan
de
Thomas Sydenham
(«corea post-infec-
ciosa», popularmente «baile San Vito»), «co-
rea por anticuerpos anti-fosfolípidos», «de-
generación hepática-lenticular» y «pan-en-
cefalitis esclerosante sub-aguda» (una se-
cuela muy infrecuente del sarampión).
Bioquímica
Descendiendo a la escala bioquímica, los
estudios histológicos de la enfermedad de
Huntington muestran inclusiones nucleares
TETRABENACINA
3-Isobutil-9,10-dimetoxi-3,4,6,7-tetrahidro-
1H-pirido[2,1-a]isoquinolin-2[11bH]-ona
en el cerebro y los testículos; y, en cantidades
moderadas, en hígado, corazón y tejido pul-
monar.
Al igual que en otras enfermedades neurode-
generativas (
vg
., enfermedad de alzhéimer)
se observan agregados proteicos. Mientras
en la enfermedad de alzhéimer se forman
agregados amiloideos y placas
neurofibrila-
res
de proteína
τ
, en la enfermedad de Hun-
tington estos agregados son hebras de po-
li-glutamina. La velocidad de formación de
estos agregados depende del número de
residuos de glutamina. Los procesos que
llevan desde estas observaciones a escala
bioquímica a los llamativos y terribles efectos
sobre los enfermos constituyen una verdade-
ra «caja nigérrima».
Tratamiento sintomático
El único fármaco que puede frenar parcial-
mente la corea (signo patognomónico de
la enfermedad de Huntington) es la
Tetra-
benacina
. Además, los neurolépticos pue-
den aliviar los movimientos involuntarios, a
pesar de que todos ellos pueden causar
cuadros de
discinesia
.
Tetrabenacina
tam-
bién se prescribe en el tratamiento de las
distonías
. Diversos estudios experimen-
tales han mostrado que la
Tetrabenacina
incrementa la actividad cerebral del neu-
rotransmisor 5-hidroxitriptamina (serotoni-
na). En uno de los experimentos se admi-
nistró a ratas
clorofenilalanina
(inhibidor de
la síntesis de 5-hidroxitriptamina). La ad-
ministración subsiguiente de 30m/Kg de
Tetrabenacina
apenas mostró efectos se-
dantes sobre la actividad locomotora. Se
infiere, pues, que la
Tetrabenacina
actúa
incrementando los niveles cerebrales de
serotonina.
Tratamientos
experimentales
Coenzima Q10 (una estructura
benzoqui-
nona
unida a una cadena de 10 monóme-
ros
isoprénicos
) ha mostrado algo de efec-
tividad en modelos animales transgénicos.
Este hallazgo ha movido a realizar un en-
sayo en pacientes. Esta sustancia actúa
dinamizando la función mitocondrial. Uno
de los estudios clínicos ya ha concluido.
En neurología es frecuente la realización
de los denominados “estudios de futili-
dad” para seleccionar los fármacos más
prometedores antes de realizar ensayos
clínicos al uso. Así sucedió con la Coen-
zima Q10.
Tristemente la enfermedad de Huntington
no tiene tratamiento farmacológico. A los
sumo,
Tetrabenacina
y los medicamentos
anti-psicóticos parecen frenar ligeramente
la corea, el signo más llamativo de esta
enfermedad neurodegenerativa.
l




